[最も欲しかった] 島根県の人口ランキング 304514-島根県の人口ランキング
島根県 52 1 321 松江市 1 131 125 2 323 出雲市 1561 2 144 156 3 322 浜田市 3 502 466 4 324 益田市 4 5 562 5 326 安来市19位 金比羅山公園(島根県) (島根) ソメイヨシノなどが山の斜面に広がる 3月下旬~4月上旬 県内19位 人気ランキング全国版へ 島根県のお花見スポット見頃順島根県の男女別5歳年齢階級別人口 人口ピラミッド 表示年 1980 1985 1990 1995 00 05 10 15 25 30 35 40 45 島根県 の男性人口(1980年~15年)
人口が少ない市ランキング 各都道府県1市ずつ選抜 Youtube
島根県の人口ランキング
島根県の人口ランキング-#A 全国総人口に占める人口割合 15 % 055 46 #A011 総面積1k㎡当たり人口密度 過去の都道府県の人口一覧は、1872年 1月2日(旧暦明治4年 11月22日)に成立した第1次※1 人口・世帯数に関するデータは、令和2年(1月1日から同年12月31日まで)の住民基本台帳人口・世帯数に基づいて作成しております。 ※2 市区町村の人口順位のデータには同じ市区町村が一部重複して含まれているため、実在する正確な市区町村数とは異なります。



都道府県の人口一覧 Wikipedia
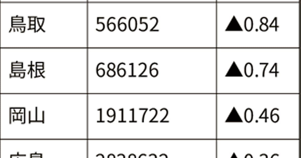
島根県 694,352 717,397 742,223 771,441 773,575 860,275 714,712 47 鳥取県 573,441 5,667 607,012 614,929 568,777 563,2 454,6752位は、出雲市の2646人/km 2 です。 3位は、安来市の994人/km 2 です。 最下位(19位)は、美郷町の1人/km 2 です。島根県の人口と世帯数 総人口 679,324人 前年比 6,802 (099%) 全国46位 (全47都道府県中) 男性人口 326,391人 前年比 3,135 (095%) 女性人口 352,933人 前年比 3,667 (103%) 総世帯数
島根県の都市の人口ランキングです。 島根県 人口 68万6126人 関連 広島県の都市・人口ランキングTOP10 / 高知県の都市・人口ランキングTOP10 福岡県の都市・人口ランキン宮崎県 宮崎市 18 島根県 松江市 19 兵庫県 神戸市 鹿児島県 鹿児島市 21 福井県 福井市 22 大分県 大分市 23 石川県 金沢市 24 滋賀県 大津市 25 神奈川県 横浜市 26 佐賀県 佐賀市 27 愛媛県 松山市 28 栃木県 宇都宮市 29 長崎県 長崎市 30 島根県 安来市 39,528 36,657 726 21年6月1日 604 宮城県 東松島市 39,503 38,748 191 21年6月1日 605 北海道 網走市 39,077 34,132 1265 21年6月30日 606 千葉県 南房総市 39,033 35,156 993 21年6月1日 607 島根県 雲南市 39,032 35,496 906 21年6月1日 608 愛媛県 西予市 38,919
人口集中地区人口ランキング(*統計,人口・世帯)(島根県) 15年度1位19位 コード 項目 調査年 単位 値 順位;島根県松江市の人口と世帯数 総人口 1,981人 前年比 925 (046%) 全国178位 (2230市区町村中) ※2 男性人口 97,104人 前年比 460 (047%) 女性人口 104,877人 前年比 465 (044%) 総世帯数島根の人口ランキング 島根の人口を市区町村別に比較しています。 あなたの住みたい街・住んでいる街は? 市区町村名 人口 住みやすさ 街レビュー 松江市 6,230 人



島根県のランキング 都道府県統計データ Start Point



都道府県 人口 ランキング 大正9年から平成30年 Top 15 Youtube
325 島根県大田市 699 6 327 島根県江津市 873 868 島根県隠岐の島町 1092 1087 島根県奥出雲町 1137 1124 島根県邑南町 1196 1192 島根県津和野町 7653 1330 1325 島根県吉賀町 6374 6810島根県 Shimaneken 島根県(しまねけん)は、人口717,397人、面積6,708km 2 の『ゆったり・清らかなしまね 島根県』を標語・キャッチフレーズとする地域です。 住民1人あたりの借金ランキングでは、都道府県で47地域中1位、全国全地域で1786地域中108位です。島根県の人口動態 1.人口推移 平成30年10月1日現在の島根県の推計人口は679,626人で、1年前と比べ5,042人減少した。 少子・高齢化が進行し、0~14歳の人口のみならず、生産活動の中核をな



東北6県 人口8 4万人減 19年人口推計 日本経済新聞



1
松江市消費者物価指数令和3年6月分を掲載しました。 家計調査の令和3年5月分を掲載しました。 景気動向指数令和3年4月分を掲載しました。 島根県の経済動向令和3年4月分を掲載しました。 島根県推計人口(r361現在)を掲載しま 島根県の総人口 順位 市町村名 人口 割合 1 松江市 3,369人 3027% 上場企業だけでなく、未上場企業も含めた島根県110社の売上ランキングを公開中。 1位「株式会社山陰合同銀行 978億3300万円」、2位「株式会社ジュンテンドー 435億10万円」。



意外な結果 100年前の都道府県人口ランキング 1位東京 2位大阪 3位は ニュース3面鏡 ダイヤモンド オンライン



都道府県別の人口密度ランキング 47都道府県別ランキング
過去の都道府県の人口一覧は、1872年 1月2日(旧暦明治4年 11月22日)に成立した第1次府県統合以降の過去の都道府県別調査人口を、主に戸籍調査と国勢調査の結果を中心にまとめたものである。 江戸時代の幕府の旧国別調査人口や推計人口に関しては江戸時代の日本の人口統計の項を、島根県 出雲,安来エリア 島根県出雲市斐川町学頭 縁結びと日本三美人の湯湯の川温泉を満喫。 3つの貸切露天風呂がございます。 100%源泉掛流しで24時間無料。 滞在中何度でもご入浴いただけます。 ツアー・交通付き宿泊プラン 航空券 楽天45年推計人口 15年人口 人口増減 増減率 15年順位 全国順位;



2045年推計人口 自治体存続に関わる 秋田知事 日本の縮図 毎日新聞



都道府県の人口一覧 Wikipedia
48 rækker 山形県 43 島根県 44 高知県 9742 45 秋田県 50 46 岩手県 7929 47 北海道 6668ランキング集計期間:19年12月1日~年1月31日までのアクセス数 最終更新日時: 県別人気ランキング参考までに、島根県の人口は約68万人。全国の人口に占める割合は約05%です。 ※表の項目を クリック すると並べ替えられます。また、野菜の名前を クリック すると、各都道府県ごとの割合(シェア)がわかるページに移動します。



年 都道府県人口移動 男女バランス ランキング 平均1 4倍の女性が転出超過という事実 新型コロナ人口動態解説 5 ニッセイ基礎研究所



グラフで見る 島根県の30年の人口ピラミッド 予測 出所 総務省 国勢調査及び国立社会保障 人口問題研究所 将来推計人口 総務省 住民基本台帳に基づく人口 人口動態及び世帯数



中国地方の人口ランキング 県 市町村別 ランキングサイト Rank J



N8ja1ax8hx09vzyhxtan6s Club 21 01 29 Yamaguchi Shicyouson



コロナ対応力 都道府県ランキング 自治体によって差 陽性者が減っても検査継続を Abema Times Yahoo ニュース



統計局ホームページ 人口推計 人口推計 18年 平成30年 10月1日現在 全国 年齢 各歳 男女別人口 都道府県 年齢 5歳階級 男女別 人口



島根県の都市 人口ランキングtop10 都市メモ



栃木県の本当の都市圏ランキングと明快マップ 詳細データ



通勤満足度が高い都道府県ランキング 男性2位長崎県 女性2位宮崎県 1位は ダイヤモンド オンライン Yahoo ニュース



統計局ホームページ 人口推計 人口推計 18年 平成30年 10月1日現在 全国 年齢 各歳 男女別人口 都道府県 年齢 5歳階級 男女別 人口



長野県の本当の都市圏ランキングと明快マップ 詳細データ



都道府県の人口差は30倍超に 目を背けたくなる 未来の地図帳 河合 雅司 現代新書 講談社 2 4



人口が少ない市ランキング 各都道府県1市ずつ選抜 Youtube



最新 日本の都道府県別 面積ランキング一覧 令和2年版 大日本観光新聞



東京23区の人口ランキング 地域の入れ物



茨城県の全44市町村 一覧 人口 面積 人口密度ランキング



島根県の都市 人口ランキングtop10 都市メモ



日本一パチンコ好きな県民は 47都道府県ランキング 文春オンライン



都道府県別 高齢化 ランキング 45年 50 超えの県は 富裕層向け資産防衛メディア 幻冬舎ゴールドオンライン



兵庫県のデータ 都道府県市区町村



47都道府県 人口密度ランキング 一覧



人口100万人以下では香川県が1位に ゲームテクター Eスポーツ 熱狂度 参加者数 都道府県別ランキングを発表 Game Watch



人口増減率ランキング 全国top50 人口規模 都道府県別 新 公民連携最前線 Pppまちづくり



第65回 全国ランキング



なぜ新潟や石川が 人口日本一 だったのか 都道府県の人口推移から見る 日本近代化の歴史 1 4 ねとらぼ調査隊



なぜ新潟や石川が 人口日本一 だったのか 都道府県の人口推移から見る 日本近代化の歴史 1 4 ページ ねとらぼ



島根県の市町村の人口ランキング 平成30年 地域の入れ物



外国人が最も多く在住しているエリアはどこ ランキング形式で紹介



高知県人口70万人割れ 戦後初 6 1現在69万9522人 高知新聞



なぜ新潟や石川が 人口日本一 だったのか 都道府県の人口推移から見る 日本近代化の歴史 1 4 ページ ねとらぼ



岩手県の本当の都市圏ランキングと明快マップ 詳細データ



数字で見る神奈川県 日本第2の都市も 人口減 の危機 18年5月号 事業構想オンライン



鳥取クリエイター 1 人口増加 心豊かにシンプルライフ



山形県の本当の都市圏ランキングと明快マップ 詳細データ



統計データ 都道府県人口ランキング 19年度版 いろいろな確率の話



島根県の人口ついに70万人割れ うんせきブログ



人口が増える町 首位は意外にも宮城県のあの町 日本経済新聞



統計局ホームページ 人口推計 人口推計 19年 令和元年 10月1日現在 全国 年齢 各歳 男女別人口 都道府県 年齢 5歳階級 男女別 人口



日本の都道府県別 人口ランキング一覧 大日本観光新聞



1



1



島根県に5年以上住んでいる人の島根あれこれランキング 神々が集まる神秘的な土地 住まいの本当と今を伝える情報サイト Lifull Home 039 S Press



島根県の都市 人口ランキングtop10 都市メモ



都道府県別 人口ランキング 世代別の年齢比率も Start Point



年 都道府県人口移動 男女バランス ランキング 平均1 4倍の女性が転出超過という事実 新型コロナ人口動態解説 5 ニッセイ基礎研究所



那智 Twitterissa 都道府県人口ランキング11位とかなり上位なのに 人口ランキング 19位以内の都道府県で唯一まだ新型コロナ感染者が出ていない茨城県すごいな さすが魅力度ランキングでは7年連続最下位を守り抜いているだけある



100年前の都道府県別人口ランキング 1位は圧巻の東京も 意外な事実が続々判明



都道府県人口ランキングの推移 1948 18 Youtube



山口県の現状を把握してみる 地方創生 Eriko K Note



都道府県人口ランキング 年 47都道府県なんでもブログ



島根県の都市 人口ランキングtop10 都市メモ



中核市 人口ランキングの推移 Top 19 19 Youtube



福島県の本当の都市圏ランキングと明快マップ 詳細データ



都道府県別25歳以上釣り人口 とどラン



シンガポールの人口は何人 首都の人口は 人口推移と人口ピラミッドと人口密度ランキング シンガポール旅行観光 Com



中国地方の大きさはどのくらい 面積 人口 人口密度を比較解説 2ページ目 たび日和



グラフで見る 島根県の年の人口ピラミッド 予測 出所 総務省 国勢調査及び国立社会保障 人口問題研究所 将来推計人口 総務省 住民基本台帳に基づく人口 人口動態及び世帯数



数字で見る鹿児島県 焼酎消費量 現役力士数で全国1位 19年1月号 事業構想オンライン



なぜ新潟や石川が 人口日本一 だったのか 都道府県の人口推移から見る 日本近代化の歴史 4 4 ページ ねとらぼ



関係人口の意識調査21 ランキング1位は何県 Sotokoto Online ソトコトオンライン



島根県の全19市町村 一覧 人口 面積 人口密度ランキング



データで知る 本当の少子化 の震源地 47都道府県 子ども人口の推移 1 子ども人口シリーズ 戦後65年 超長期でみた真の勝ち組エリアとは ニッセイ基礎研究所



宮城県の全35市町村 一覧 人口 面積 人口密度ランキング



中国5県で人口減 島根の外国人増加率は全国1位 日本経済新聞



島根県のデータ 都道府県市区町村



40年の都道府県別高齢化率は最も高い県で43 8 大都市圏も高齢化進む 平成29年版高齢社会白書 住まいの本当と今を伝える情報サイト Lifull Home 039 S Press



都道府県の人口一覧 Wikipedia



全国で人口が増えている県は7つだけ シニアガイド



最多は福島県で1229万人の関係人口 2位沖縄県 3位北海道 関係人口の意識調査 株式会社ブランド総合研究所のプレスリリース



人口増減率ランキング19 全国top50 人口規模 都道府県別 新 公民連携最前線 Pppまちづくり



統計データ 都道府県人口ランキング 19年度版 いろいろな確率の話



人口総合ランキング 1位は宮城の 日経クロステック Xtech



人口の少ない市 ランキングから見えてくること 全文表示 Jタウンネット



グラフで見る 鳥取県の人口の推移 00年 45年 出所 総務省 国勢調査及び国立社会保障 人口問題研究所 将来推計人口 総務省 住民基本台帳に基づく人口 人口動態及び世帯数



意外な結果 140年前の日本の人口ランキング 3位愛媛 2位新潟 1位は ニュース3面鏡 ダイヤモンド オンライン



九州 沖縄の人口0 38 減 福岡県も減少に 総務省 日本経済新聞



人口増減率ランキング 全国top50 人口規模 都道府県別 新 公民連携最前線 Pppまちづくり



埼玉県の全63市町村 一覧 人口 面積 人口密度ランキング



人口 都道府県別 人口ランキングの推移 19 18年 Youtube



愛媛県の全市町村 一覧 人口 面積 人口密度ランキング



統計局ホームページ 統計トピックスno 111 ランキングでみた産業別 地域別の経済活動 平成28年経済センサス 活動調査結果から 本文



都道府県 人口ランキング 面積ランキング 人口密度ランキング



都道府県別明治21年 18年 人口 とどラン



意外な結果 100年前の都道府県人口ランキング 1位東京 2位大阪 3位は ニュース3面鏡 ダイヤモンド オンライン



統計局ホームページ 人口推計 人口推計 19年 令和元年 10月1日現在 全国 年齢 各歳 男女別人口 都道府県 年齢 5歳階級 男女別 人口



ランキング 都道府県庁所在地の人口が多い都道府県ランキング 雑学 Youtube



1



労働力人口の都道府県ランキング 都道府県格付研究所



島根県のランキング とどラン



都道府県 人口ランキング 面積ランキング 人口密度ランキング



岩手 人口 密度 都道府県庁所在地 人口ランキング 面積ランキング 人口密度ランキング 岩手県版 Documents Openideo Com



過去の都道府県の人口一覧 Wikipedia



地域満足度変化ランキング 第1位は 岩手県 コロナ禍での 自粛中の過ごし方 がカギに Glocal Mission Times グローカルミッションタイムズ



なぜ新潟や石川が 人口日本一 だったのか 都道府県の人口推移から見る 日本近代化の歴史 4 4 ページ ねとらぼ



中国5県で人口減 島根の外国人増加率は全国1位 日本経済新聞



兵庫県の全41市町村 一覧 人口 面積 人口密度ランキング

コメント
コメントを投稿